Duccio Meconcelli

Duccio Meconcelli

PhD in Smart Computing

"Random Access Memories"
arrow_downward

Selected Works

2022โ€”2026
GitHub Trending RSS

GitHub Trending RSS

Personal|
PythonRSSAtom+3

Summary ๐Ÿš€ A lightweight Python tool that generates RSS/Atom feeds for GitHub trending repositories, making it easy to track popular projects via any feed reader.

arrow_forward
InfiniteDante

InfiniteDante

Personal|
PythonPyTorchONNX Runtime Web+2

Summary ๐Ÿ”ฅ A micro-LLM (~12.1M parameters) trained on Dante Alighieris works and medieval Italian literature that runs **entirely in the browser** to generate infinite Dante-style text.

arrow_forward
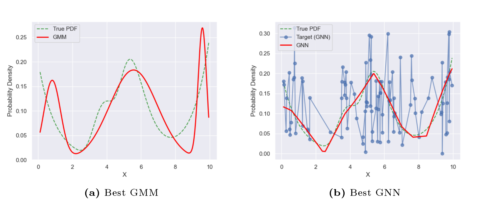
Gaussian Mixture Neural Networks

Gaussian Mixture Neural Networks

University|
PyTorchGMMNeural Networks

Summary ๐Ÿ“˜ A research-heavy architecture that fuses **Gaussian Mixture Models** with a lightweight neural backbone to estimate probability density functions without labels.

arrow_forward
Twisted Thought GAN

Twisted Thought GAN

University|
PythonDCGANTensorFlow

Summary ๐ŸŽจ This final project for Neural Networks 2023 reimagined a DCGAN as a playground for *generating* Lissajous-inspired visual motifs.

arrow_forward
Mice Glomeruli Segmentation

Mice Glomeruli Segmentation

University|
DeepLab V2MobileNetKeras

Summary ๐Ÿงฌ Research paper accepted at ESANN 2022 that benchmarks deep segmentation backbones for renal glomeruli detection on mouse histology.

arrow_forward
Feedygram

Feedygram

Personal|
PythonTelegram APIRSS+1

Summary ๐Ÿค– Feedygram is my personal take on an RSS-to-Telegram bridge. It scrapes your favorite feeds and delivers them through Telegram messages enhanced with Instant View previews.

arrow_forward
FCK GBRL AI

FCK GBRL AI

Personal|
Neural NetworksSegmentationNFT

Summary ๐Ÿ”ฎ FCK GBRL AI is a creative detour where biomedical image segmentation met the unpredictability of NFT art. The idea was to celebrate the beautiful glitches that emerge from deep learning, not hide them.

arrow_forward
Scanner Project

Scanner Project

University|
PHPSQLHTML/CSS

Summary ๐Ÿงญ A capstone for the Computer Networks course: I built a web service that scans barcodes, persists the results, and visualizes warehouse workflows.

arrow_forward